Антон Антипин
Генеральный директор компании «Business Set»
Преподаватель Высшей школы экономики (Президентская программа, Курсы повышения квалификации, Программы Master in Strategy, Master in Management)
Преподаватель Российского Международного Олимпийского Университета
Эксперт Центра развития и поддержки предпринимательства (экспертиза: проектирование стратегии развития предприятия, разработка и внедрение сбалансированной системы показателей, моделирование, анализ и оптимизация бизнес-процессов)
Сертифицированный преподаватель Business Studio
Игорь Аренков
Профессор ВЭШ СПбГУЭФ
Ольга Гринченко
Инженер по бизнес-процессам «СМУ-303»
Дмитрий Могилко
К. т. н.
Бизнес-архитектор
Эксперт-консультант ВЭШ СПГЭУ
Асессор по модели EFQM
Партнёр ГК «Современные технологии управления» (г. Санкт-Петербург)
Одним из ключевых эффектов применения процессного подхода к управлению является возможность точного определения критических для бизнес-системы ресурсов и операций. В настоящей статье описаны подходы к решению задачи оптимизации бизнес-процессов на основе интеграции системы Business Studio (статистическая оценка параметров бизнес-процессов) и электронных таблиц MS Excel (постановка и решение оптимизационной задачи) без применения других специализированных программных продуктов.
А. Общие положения: понятия и определения
Системный анализ бизнес-процессов включает следующие этапы:
- Описание (идентификация) элементарных операций функциональных бизнес-процессов;
- Определение цепочек связей (отношений предшествования) на множестве элементарных операций и синтез сквозных бизнес-процессов.
Основными показателями качества бизнес-процессов являются:
- Эффективность (= результативность / ресурсоемкость);
- Оперативность;
- Удовлетворенность потребителя.
В общем случае оптимизационная модель бизнес-процесса включает:
- Множество переменных, выражающих интенсивность (частоту) воспроизведения операций бизнес-процесса
;
- Целевую функцию, выраженную суммой произведений параметров результативности бизнес-процесса
на интенсивность воспроизведения операций бизнес-процесса;
- Систему ресурсных ограничений, выраженных суммой произведений параметров ресурсоемкости (оперативности) бизнес-процесса
на интенсивность воспроизведения операций бизнес-процесса;
- Систему технологических ограничений, выраженных условиями (временного) предшествования выполнения операций бизнес-процесса.
В качестве примеров моделей оптимизации бизнес-процессов ниже приведены формализованные постановки задач планирования выпуска продукции и составления расписания выполнения работ (ограниченной размерности). При описании выбраны определенные размерности задач — для более наглядной записи параметров модели оптимизации (целевой функции и ограничений).
1. «Об ассортименте продукции»
Дано: Имеются n = 3 вида продукции (выпускаемые предприятием), прибыль от продажи единиц продукции которых соответственно равна (показатели результативности бизнес-процесса «Продажи»)
.
В процессе производства видов продукции используются (последовательно) m = 3 технологические операции, при этом производство каждого вида характеризуется соответствующими продолжительностями операций на изготовление единицы продукции (показатели оперативности бизнес-процесса «Производство»):
- Для 1-го вида:
единиц времени;
- Для 2-го вида:
;
- Для 3-го вида:
;
Фонд рабочего времени, в течение которого могут выполняться технологические операции, ограничен соответствующими предельными значениями (ресурсные ограничения)
единиц времени в сутки.
Найти: Оптимальный суточный объем производства каждого вида продукции с целью максимизации суммарной прибыли от ее реализации при соблюдении ограничений на общую продолжительность технологических операций.
Решение: Решение задачи представляется множеством переменных
, соответствующих количеству производимых в сутки единиц продукции соответствующих видов (интенсивность операций бизнес-процессов).
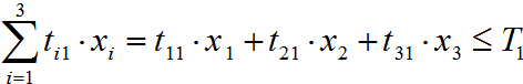
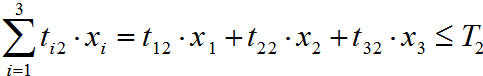
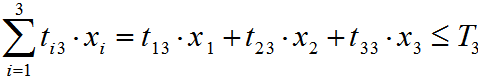
С учетом введенных переменных ограничения могут быть записаны в следующем виде:
- Чтобы суммарная продолжительность технологических операций не превышала их предельное время:
-
Для 1-й операции (по всем видам продукции):

-
Для 2-й операции (по всем видам продукции):

-
Для 3-й операции (по всем видам продукции):

-
И целевая функция в виде:
,
Где
— множество допустимых альтернатив, обусловленных ограничениями задачи.
2. «Минимизации суммарного штрафа за нарушение директивных сроков»
Дано: Имеются n работ, характеризующиеся продолжительностью выполнения (показатели оперативности бизнес-процесса)
. При этом заданы директивные сроки окончания выполнения соответствующих работ (временные ограничения)
и штрафы за их нарушение (показатели результативности бизнес-процесса)
.
Найти: Оптимальное расписание (очередность выполнения работ) с целью минимизации суммы штрафов за нарушение директивных сроков завершения выполнения соответствующих работ.
Решение: Для решения задачи используется множество булевых переменных
:

а также множества переменных
, соответствующих моментам времени начала выполнения работ и
, отражающих факт нарушения директивных сроков завершения работ:

С учетом введенных переменных ограничения могут быть записаны в следующем виде:
-
Чтобы переменные
принимали единичное значение при нарушении директивных сроков:
,
Где Q — константа, значительно превышающая значения параметров работы:
-
Для 1-й работы:

-
Для 2-й работы:
и т. д.
- Чтобы из 2-х любых работ выполнение одной из них предшествовало другой:
-
И целевая функция в виде:
,
Где
— множество допустимых альтернатив, обусловленных ограничениями задачи.
Анализ приведенных моделей позволяет определить в качестве «критических» (общей модели оптимизации бизнес-процессов) следующие параметры ограничений:
-
Матрицу параметров ресурсоемкости (оперативности) операций бизнес-процессов:

-
Соответствующий вектор объема доступных ресурсов предприятия:

-
Матрицу (взаимосвязанных) параметров отношений предшествования (очередности) на множестве операций бизнес-процессов:

Одним из способов оптимизации «критических» параметров бизнес-процессов является подход, описанный в Теории ограничений (предложенной Элия Голдратт) и включающий следующие шаги:
- Идентификация ограничений системы;
- Определение способа максимального использования («дозагрузки») ограничений системы;
- Определение критического ограничения системы;
- Увеличение «пропускной способности» (за счет ослабления) критического ограничения;
- Оценка прироста в достижении цели организации и определение следующего (критического) ограничения системы (переход к ш.1).
Интерпретация данного способа оптимизации бизнес-процессов с точки зрения вычислительного аспекта предполагает решение следующих задач:
- Определение параметров ресурсных ограничений системы бизнес-процессов (достигается на основе описания и имитационного моделирования процессов средствами системы Business Studio):;
- Анализ чувствительности целевого эффекта деятельности к изменению параметров оперативности и ресурсоемкости бизнес-процессов (осуществляется в среде MS Excel путем многократного решения оптимизационной задачи для различных исходных данных);
- Ранжирование с точки зрения убывания «критичности» ресурсных ограничений системы;
- Определение способа оптимизации параметров бизнес-процессов (в составе критического ресурсного ограничения системы) с целью «ослаблении» ограничения и как следствие — роста целевого эффекта деятельности;
- Возврат к п.1 (применение цикла непрерывного улучшения до тех пор, пока затраты на улучшение критических параметров бизнес-процессов покрываются приростом результативности деятельности предприятия).
Имитационное моделирование средствами системы бизнес-моделирования Business Studio позволяет в качестве параметров операций в интересах оптимизации бизнес-процессов использовать следующие:
- «Критические» времена (выполнения и ожидания в очереди) операции бизнес-процесса;
- «Критические» средние времена (использования и ожидания доступности) ресурса бизнес-процесса;
- «Критические» средние стоимостные оценки (ресурсоемкости) операций бизнес-процесса;
- «Критические» средние стоимостные оценки используемых временных ресурсов;
- «Критические» средние стоимостные оценки используемых материальных ресурсов.
Для удобства анализа — сведения о критических операций и ресурсах бизнес-процессов в Отчете (по результатам имитации) может быть представлено в следующей форме (например):
Б. Настройки Business Studio: построение Отчета
Представленный вариант Отчета «Критические операции и ресурсы бизнес-процесса» может быть реализован средствами Business Studio с использованием, например следующих «критических» ограничений:
- Критические временные ресурсы (люди), выявленные в ходе проведения имитации. К таким ресурсам мы отнесем ресурсы, процент загрузки которых превышает порог в 60%;
- Критические операции (конечное действие, не требующее дальнейшей детализации). К таким операциям мы отнесем операции, время выполнения которых по результатам имитации составило 8 и более часов.
В результате создания отчета формируется следующее представление данных (Рисунок 1), например:

Рисунок 1. Внешний вид отчета по критическим ресурсам
Основными этапами настройки Отчета «Критические операции и ресурсы бизнес-процесса» являются следующие:
- Создание динамического отчета от класса «Имитации»;
- Создание привязки типа «Объект» для вывода названия имитации;
- Создание сложной привязки для вывода информации о критических временных ресурсах имитируемых процессов;
- Создание фильтра для выборки ресурсов с заданным уровнем загрузки (более 60%);
- Создание сложной привязки типа «Список» для вывода критических операций;
- Создание совокупности двух сложных привязок типа «Список» с фильтрами для вывода сведений о декомпозируемых процессах.
С подробным описанием алгоритма настройки Отчета «Критические операции и ресурсы бизнес-процесса» можно ознакомиться на сайте busset.ru
Внешний вид отчета представлен на рисунке 2.

Рисунок 2. Внешний вид отчета
Таким образом, описанный подход совместного использования системы бизнес-моделирования Business Studio с электронными таблицами MS Excel позволяет эффективно решать вычислительные задачи анализа и оптимизации критических параметров бизнес-процессов без применения других специализированных программных продуктов.
Используемая литература:
[1] Система бизнес-моделирования Business Studio 3. Методика «Имитационное моделирование и функционально-стоимостной анализ». — Группа компаний «Современные технологии управления»
[2] Могилко Д.Ю., Шаныгин С.И. «Оптимизационные задачи в принятии управленческих решений». — СПб.: ТЭИ. — 2011. — 48 с. (доступна на сайте busset.ru по теме «Оптимизация бизнес-процессов» дистанционной программы обучения)
Май 2012 г.
Рекомендуемые материалы по тематике